
betway西汉姆联官网陈树琪教授团队近日在LASER & PHOTONICS REVIEWS上报告了一种双原子超表面,其可以通过简单调整纳米谐振器的间距来调制等离子体导模共振(GMR)之间的干涉,实现圆二色性(CD)的连续变化和符号反转。这是一种在不改变结构几何手性的情况下连续操纵 CD 的有效方法。此外,研究团队还证明了所设计的超表面在实现手性光学加密方面具备显著优势。
本文要点
1
该研究的超表面可以在不改变结构几何手性的情况下通过简单调整纳米谐振器的间距来调制等离子体导模共振(GMR)之间的干涉,实现圆二色性(CD)的连续变化和符号反转。
2
研究团队证明了所设计的超表面在实现手性光学加密方面具备显著优势。其编码信息被限制在一个窄波段,一般公众无法访问,但可以传输到配备特殊密钥的接收器。
超表面结构与原理
图 1 所示的概念示意图说明了通过控制双原子超表面(具有金属-绝缘体-金属结构)中 GMR 的干涉来实现 CD 的连续变化和符号反转。底部铝 (Al) 层、中间 SiO2 基板和顶层 Al 纳米谐振器的厚度分别为 200、180 和 70 nm。双原子超表面的周期在 x 和 y 方向上分别为 1200 和 600 nm。该晶胞由两种伞形纳米谐振器(分别命名为A和B)组成,其内外半径分别为ri = 160和re = 230 nm。中间棒的宽度为w= 70 nm。纳米谐振器 A 和 B 的角度 ? 和 ?(图 1 )代表短弧和对称长弧的长度,分别为 ?A = ?B = 45°、?A = 80° 和 ?B = 65°。每个晶胞中纳米谐振器 A 和 B 之间沿 x 方向的相对间距由 d 表示。参数d的变化可以引起CD的逐步变化和符号反转,这归因于可控的非局域等离子体GMR。设计的超表面能够将垂直入射下的 x 偏振和 y 偏振的横向磁波 (TM) 和横向电波 (TE) 有效耦合到相同的 GMR 中,从而增强 SiO2 衬底内的电场。由于±?/2 相位延迟,圆偏振波的TM 和TE 分量激发的GMR 的干涉是自旋选择性的。简单起见,假设TM 和 TE 分量激发的 GMR 具有相同的强度和相位差 -?/2。因此,激发的 GMR 分别在左手圆偏振 (LCP) 和右手圆偏振 (RCP) 法向照明下表现出相长干涉和相消干涉,从而放大了 LCP 波的吸收并导致负 CD。这里假设电磁场与时间相关,RCP 和 LCP 波被定义为,当从波接近的方向观察时,固定位置 z 处的电场分别沿顺时针或逆时针方向旋转。综上所述,改变参数 d 可以有效地调节激发的 GMR 之间的相位差,从而实现集体干涉和 CD 操纵的精确控制。

图1. 设计的双原子超表面示意图,用于实现CD 的连续操作和反直觉的符号反转。超表面由两种类型的纳米谐振器组成,分别标记为 A 和 B,每种纳米谐振器都有不同的结构参数 ?。这些超表面可以有效地将圆偏振光的正交线偏振分量耦合到相同的等离子体导模共振(GMR)。通过调整间距参数d,可以有效地控制两个激发导模场的干涉,从而实现CD的连续变化和符号反转。
模拟仿真与分析
图 2a、b 描绘了 LCP 和 RCP 正常照明下不同 d 的模拟吸收光谱。在四个不同的波长下可以清楚地观察到自旋选择性吸收。在 RCP 下,在 1200 nm (P1) 处观察到高质量吸收峰,而 LCP 的吸收增强出现在 1250 nm (P2) 和 1370 nm (P3) 处。随着两种纳米谐振器之间的间距 d 的变化,P1 至 P3 处的吸收峰保持不变。然而,1530 nm 附近的自旋选择性吸收(P4)随着不同的 d 表现出显著的变化。当每个基元中的纳米谐振器A和B彼此靠近时,RCP光的吸收强于LCP光的吸收。随着 d 逐渐增加到接近周期的一半,LCP和RCP的吸收之差减少,并且吸收峰趋于消失。随着d进一步增加,RCP光的吸收变得比LCP光的吸收弱。 P4处自旋选择性吸收的变化表明CD(定义为LCP和RCP光之间的吸收差异)可以通过改变d来连续操纵,并且可以观察到违反直觉的符号反转。
图 2c 模拟了 d = 500 nm 时穿过纳米谐振器中心的 x-z 平面内的电场分布。 P1 处 RCP 照明下的空气中电场得到增强,在吸收光谱中可以观察到尖锐的峰。这是通过衍射模式与局部共振模式的耦合激发表面晶格共振,表现为在与周期大小相对应的波长处的反常伍德-瑞利吸收。因此,P1 处的手性光学共振不受间距 d 的影响。峰值 P2 和 P3 处的电场(|Ez|) 在两种类型的纳米谐振器附近增强,表明 P2 和 P3 是由两种纳米谐振器的固有谐振引起的。纳米谐振器 A 和 B 的固有谐振分别对 P3 和 P2 处的吸收峰有贡献,并且不受 d 变化的影响。在RCP 照明下,电场在 P4 处的 SiO2 衬底内增强并局域化,场振幅的空间周期是沿 x 方向的结构周期的一半,从而验证了强等离子体 GMR 的激发。d = 580 和 660 nm 时P4 处的电场分布进一步验证了可以通过改变d来调制 GMR 的激发。d= 580 nm时,GMR 由具有相似共振强度的 LCP 和 RCP 波激发。相反,在 d = 660 nm 时,GMR 仅在 LCP 照明下才会被有效激发。图2d 中通过反射实验验证了 d 对手性光学响应的影响。四个反射峰显然对应于四个吸收峰。

图2. 设计的超表面的手性光学响应分析。在 a) LCP 和 b) RCP 照明下具有不同间距 d 的设计超表面的模拟吸收光谱。四个吸收峰标记为P1至P4。 c) 电场|Ez|的z分量的模拟幅度分布在穿过两个纳米谐振器中心的 x-z 平面上的四个吸收峰,d = 500 nm。以及d = 580和660 nm时LCP和RCP照明下P4的|Ez|的模拟分布。 d)在LCP和RCP照明下测量的具有不同d的设计超表面的反射光谱。插图显示了设计的超表面晶胞的 SEM 图像(比例尺:600 nm)。
定量分析与计算
图 3a、b 中为不同 d 的设计超表面的模拟 CD 谱。CD = RLCP – RRCP (CD = ARCP – ALCP),计算为 LCP 和 RCP 光的反射率之间的差异。随着d从500 nm变化到660 nm,模拟CD在P4处的峰值从0.55变化到-0.36,而测量的CD峰值从0.37变化到-0.31。随着间距 d 的增加,峰的波长会稍微红移。图3b中的数据质量不如模拟数据,主要是由于制作的样品尺寸有限(90 μm × 90 μm),导致检测信号较弱,信噪比降低。模拟和测量结果相当一致,验证了 CD 的连续变化和反直觉的符号反转。结果表明,设计的超表面为在共振波长下不改变结构几何手性连续操纵和符号反转CD提供了一种有效的方法。一般而言,CD 的符号反转是通过改变大多数先前方法中的结构几何手性来实现的。具体来说,平面手性纳米结构被定义为在不被提升出平面的情况下无法叠加到其镜像上的图案。几何手性程度可以通过纳米结构与其镜像之间的重叠体积来定量表征。修改几何手性涉及一种称为“对映体”的转换,其中结构通过非手性几何从一种手性转变为另一种手性。在该设计中,当改变纳米谐振器之间的间距时,几何手性程度保持不变,并且不会发生对映体转变,从而保留了结构几何手性。
这种现象可以归因于非局域等离子体 GMR 的自旋选择性干涉的有效调制。设计的超表面可以有效地将 TM 波和 TE 波耦合到 P4 处的相同 GMR(类 TM 模式)中。由于圆极化波可以看作是TM波和TE波的组合,它们的振幅相同,相位差为±?/2,因此圆极化波的TM和TE分量激发的导模场之间的干涉具有自旋选择性,如图3c、d所示。将TM(TE)波激发的导模场的幅度和相位分别定义为aTM(aTE)和?TM(?TE)。对于沿-z方向照射的LCP(RCP)光,TM波和TE波之间的相位差为?/2(−?/2);因此,LCP 和 RCP 波的 TM 和 TE 分量激发的导模场之间的集体干涉可以用复振幅 a 来描述:

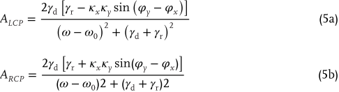
则可求出干涉场强度I=|a|2。可以计算LCP和RCP照明下激发导模场与相应的干涉场归一化强度之间的相位差?TE−?TM,以显示自旋选择性集体干涉效应。 TM 和 TE 垂直入射下的激发导模场是沿 x 轴的驻波场。为了简单起见,使用驻波场波峰处沿y轴的磁场Hy的平均值来计算相位差。随着d从500 nm变化到580 nm,相位差在0和?范围内变化,如图3c所示。因此,圆偏振波的TM和TE分量激发的导模场在RCP(LCP)照明下表现出相互相长(相消)干涉,表明RCP光的吸收增强。当 d = 580 nm 时,相位差接近 ?,并且 LCP 和 RCP 光的干涉场强度彼此接近,导致微弱的手性光学共振。随着d继续增加,相位差在?和2?之间,这导致LCP光的导模场相长干涉和RCP光的相消干涉。 LCP 和 RCP 下 P4 处的共振强度差异可表示为:

显然,CD的符号是由相位差决定的。随着d的增加,相位差的sin值逐渐从正值减小到0,然后又变为负值,这决定了CD的值和符号反转的连续变化。当 d = 500 nm 时,通过跨纳米谐振器中心的 x-z 平面中的模拟磁场分布,可直观地验证导模场的自旋选择性集体干涉(图 3d)。结果验证了所提出的超表面可以将 TE 和 TM 入射耦合到具有相似共振强度的类 TM 等离子体 GMR 中。激发导模场之间的相位差导致 LCP 照明下的相消干涉和 RCP 照明下的相长干涉,从而导致 GMR 的自旋选择性激发。当d = 500 nm时,具有不同入射偏振的导模场的相量表示可以帮助证明场的干涉结果,如图3e所示。为了便于模拟结果与理论解释之间的定量比较,进一步采用耦合模式理论(CMT)来描述入射波与超表面耦合产生的GMR。动态系统方程可以描述为:

其中a、?0、?d和?r分别是谐振模式的谐振幅度、谐振频率、耗散损耗率和辐射损耗率。 S? (Sy) 是入射圆偏振光的 TM (TE) 偏振分量。 ?x 和?y 是耦合常数。 ?x 和?y 代表相对相位。根据能量守恒,|?x|^2+|?y|^2=2?。LCP和RCP波定义为 √1/2[1,i]和√1/2[1,−i]。那么,LCP和RCP波的吸收可表示为:

其中? 是光波的频率。因此,CD的值可以计算为:

根据方程6,CD的符号由Δ?=?y−?x确定,与图3c、d的结果一致。根据图 3a 中的方程 6 推导了 CD 光谱的拟合曲线,与模拟结果非常吻合。应该注意的是,CD 的负最大值和正最大值分别出现在 d 等于 500 和 660 nm 时。当d小于500 nm或大于660 nm时,TM波和TE波激发的导模场之间的相位差减小。相位差的减小与导模场的幅度相结合,导致 CD 绝对值的减小。根据公式6,可以通过优化TE和TM照明下GMR的强度相等、保持高耦合效率并保持±?/2的相位差来实现最大CD值。导模场的集体干涉不仅受到 d 变化的影响,还受到其他结构参数变化的影响。当相对间距d等于Px/2时,GMR将在由两个相同的纳米谐振器(排列为A-A或B-B)组成的超表面中消失。然而,当 d 不等于 Px/2 时,GMR 在 TE 和 TM 照明下都可以被激发。但由于 d 变化期间相位差 Δ? 几乎恒定且固定,因此它们的干涉缺乏自旋选择性。为了实现P4处CD的连续变化和反直觉的反转,需要仔细优化了晶胞中两个纳米谐振器的结构参数。

图3. 通过改变 d 在设计的超表面中对 CD 进行连续操作和反直觉的符号反转。 a) P4处设计的超表面的模拟CD光谱。点是基于 CMT 模型的理论拟合结果。 b) 测量的设计超表面的圆二色光谱。 c) 计算出的 P4 处干涉场的相位差和相应的归一化强度,以及 d) 不同 d 处 P4 处的模拟 CD 值。插图显示了磁场分布 |Hy| 的 y 分量的模拟幅度分布当 d = 500 nm 时,在不同偏振态的正常照射下,在穿过纳米谐振器中心的 x-z 平面中。 e) d = 500 nm 时不同入射偏振的导模场的相量表示。
加密实验
利用 P4 窄带光谱中反射强度仅随 d 变化这一事实,d 可以用作信息隐藏扰动。可以获得利用自旋态和波长区域作为加密通道的独特光学加密策略。设计了四种具有不同d和?A的晶胞作为信息编码的基本元素I至IV,如图4a所示。由四种类型的晶胞组成的周期性超表面的彩色图像看起来几乎相同(图4b)。元素 I 由两个具有相同结构参数的纳米谐振器组成,在 P3 处没有手性光学共振。元件 II、III 和 IV 在红外区域的反射率值相似,仅在 LCP 照明下的 P4 处不同。因此,可以预期,元素I组成的周期性超表面与元素II~IV组成的周期性超表面在近红外区域的灰度图像存在较大差异。并且由元素I至IV组成的周期性超表面的灰度图像在P4处是不同的。因此,元素I和元素II至IV可以看作是近红外区域的2位编码元素“1”和“0”,而它们可以在LCP下实现P4处的4位光强度编码照明。另一方面,对于 RCP 照明,元素 II、III 和 IV 的反射光谱在近红外区域几乎相同,与元素 I 的反射光谱有很大不同。具体来说,在 P4 处,元件 III 和 IV 的反射率相同,而元件 I 的反射率稍高,元件 II 的反射率最低。因此,元素I和元素II至IV可以视为近红外区域的2位编码元素“1”和“0”,以实现LCP和RCP照明下的二值灰度图像。这些结果验证了自旋态和波长区域可以用作手性光学加密的加密通道。如图 4b 所示,实验捕获的设计周期性超表面图像验证了预测。
为了证明这一点,研究团队在近红外区域和 P4 处对两个不同的图像进行编码,如图 4c 所示。加密的信息只能由接收者使用正确的解密密钥解密。如果公众没有钥匙,他们将看不到任何信息,因为光学图像在可见光区域以均匀的强度被隐藏。拥有密钥的接收者将在不同的解密条件下获得有关图像的部分或完整信息。为了验证光学加密性能,将灰度图像编码到设计的超表面中,如图 4d 所示。元素 I 到 IV 代表不同的灰度值,被放置在设计图像的相应像素中。图像的设计考虑了相机的分辨率和相邻元素之间的相互作用,因此具有相同灰度值的区域至少包含4×6像素。由于构成制造的超表面的纳米谐振器具有相似的结构配置,因此在制造的样品的整体 SEM 图像中无法观察到编码图像。正如图 4e 中实验捕获的图像所验证的那样,当在 LCP 和 RCP 照明下使用可见光区域相机观察时,制造的超表面呈现为均匀的深橙色块。红外相机在溴钨灯的 LCP 和 RCP 照明下捕获二值灰度图像。 LCP 和 RCP 照明下图像之间的对比度差异归因于 LCP 和 RCP 照明下每个编码元件的反射光谱的变化。完整清晰的四灰度熊猫图像只能在红外相机前面使用中心波长为 1530 nm 的窄带干涉滤光片在 LCP 入射下观察到。LCP照明下的强度按降序排列,背景和大熊猫的脸部强度最高,其次是小熊猫的脸部和腹部,然后是茶杯,最后是两只熊猫的身体和眼睛。在RCP照明下,大熊猫的背景和面部仍然表现出最高的强度,而小熊猫的面部和腹部观察到最低的强度。此外,两只熊猫以及茶杯的身体和眼睛区域似乎融合成一个强度。实验结果与预期图像完全一致,证明了基于设计的超表面的策略的有效性,可用于实现自旋和波长选择性光学加密(如图4c所示)。此外,由于设计的超表面可以连续调制CD的值,因此可以进一步涉及更多元素,在LCP照明下编码1530 nm的高阶灰度图像。与之前通过控制各个谐振器的局部谐振将不同灰度图像独立编码为不同波长的方法相比,设计的超表面可以隐藏所需的灰度图像,同时在宽广的范围内显示另一个灰度图像。这种隐藏的图像只能在具有固定圆偏振态和特定中心波长的窄带照明下才能显示出来,为手性光学加密提供了独特的策略。

图4. 自旋和波长选择性光学加密的实现。 a)具有不同?A和d的设计晶胞的SEM图像,代表四个基本编码元素(I至IV)。 b)由元素 I 至 IV 组成的设计周期性超表面在可见光区、近红外区和 ?0 = 1530 nm 处的测量光学图像。 c) 基于设计的编码元素的加密策略示意图。 d)设计的编码图像和制作样品的SEM图像(比例尺为50μm)。 e)在不同照明条件下实验捕获设计样品的光学图像。
总结
该研究提出了一种有效的方法,通过有效调节双原子超表面中等离子体GMR 的集体干涉,实现 CD 的连续操纵和违反直觉的符号反转。通过简单地调整两种类型纳米谐振器之间的相对间距,可以观察到 CD 的连续变化和符号反转。研究证明,调整两个纳米谐振器之间的间距会引起 TE 和 TM 照明激发的导模场之间的干涉相位发生变化,从而导致激发的导模场之间产生自旋选择性相长和相消干涉。实验结果验证了两个纳米谐振器之间不同间距对应的不同手性响应,这与理论分析和模拟结果非常吻合。重要的是,改变纳米谐振器的间距对其各自的手性光学谐振的影响可以忽略不计。通过实验证明,这一特性为实现自旋和波长选择性光学加密提供了显著的优势。编码信息被限制在一个窄波段,一般公众无法访问,但可以传输到配备特殊密钥的接收器。这项研究揭示了非局域共振控制在操纵纳米结构手性光学响应方面的巨大潜力,为在不改变几何手性的情况下连续操纵和符号反转CD提供了新的候选者。它增强了对手性光学机制的理解,并使自旋选择性光操纵、检测和加密的应用成为可能。
文章信息
期刊:LASER & PHOTONICS REVIEWS
题目:Counterintuitive Reversal of Circular Dichroism via Controllable Plasmonic Guided Mode Resonance in Diatomic Metasurfaces
作者:Jiaqi Cheng, Zhancheng Li, Duk-Yong Choi, Wenwei Liu, Yuebian Zhang, Shiwang Yu, Hua Cheng, Jianguo Tian, Shuqi Chen
接受日期: 17 January 2025
原文链接:https://doi.org/10.1002/lpor.202401184