来源:Angewandte Chemie International Edition

背景概述
吸附分离技术为重要工业气体净化(如:天然气升级、烟气洗涤等)提供了一种简易且低能耗的处理方式。在众多多孔材料中,金属-有机框架(MOF)因其可编程的网络结构和可调控的孔道环境更受青睐,但同时也受限于潮湿环境中稳定性不佳和吸附效率下降等问题。水气在实际环境中无处不在,这就要求MOF吸附剂不仅能在潮湿环境中保持其结构完整度和孔隙率,且能耐受水气脱附过程中其毛细张力对框架的破坏。相对而言,后者是一个更为严苛的判据标准,直接影响材料的性能表现。造成吸附剂效率下降的另一个重要因素是水气与目标气体分子的竞争吸附。特别地,当孔隙在高湿度环境中填充大量水分子后,材料可能完全丧失原本的吸附分离性能。以上问题在烟气脱硫应用中显得尤为突出。一方面,SO2气体本身具有酸性和反应活性,与水气混合后,对MOF框架的稳定性提出了更高要求。另一方面,工业烟气中仅存有微量SO2(500-3000 ppm),但包含大量水气。而MOF中存在的SO2吸附位点(如:开放金属位点、路易斯碱位点)通常对水分子也具有强亲和力。因此,水气竞争吸附将严重削弱MOF吸附剂的SO2去除效果,并对后续烟气处理(如:CO2脱除)造成影响。此外,烟气中存在的水气对管道具有腐蚀性,不利于气体传输。因此,工业上需要对烟气进行预先除湿处理,这无疑增加了流程复杂度和能耗(常见吸湿剂的再生温度超过200摄氏度)。
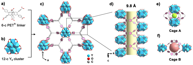
近日,betway西汉姆联官网许健教授团队基于具有三维结构的三蝶烯六酸(H6PET)配体和九核钇簇(Y9)构建了一例具有alb拓扑的高连接MOF(NKU-201-Y),该结构同时包含一维贯穿孔道(孔窗尺寸:9.8 Å)和两种不同大小的孔笼,可用于烟气深度脱硫和高效除湿。
图文导读

图1. NKU-201-Y的构筑单元和孔道特征。
基于钇-氧强配位键、高连接网络和三维配体自身刚性等特征,该材料在SO2和水气的吸附-脱附循环实验中均表现出优异的稳定性,满足烟气脱硫吸附剂的必要条件。值得注意的是,该MOF具有典型的“S型”水吸附曲线,室温时在50% RH以下表现为疏水性,而在60% RH以上展现出较高的吸附容量(0.56 g g-1),且经过60轮水吸附-脱附循环后仍能保持稳定的工作容量。此外,该材料还能从水相中直接活化而不损失孔隙率和比表面积,表明框架对水气脱附造成的表面张力具有极佳的耐受力。

图2. NKU-201-Y的稳定性表征和水吸附行为研究。
在298 K和1 bar条件下,该MOF的SO2饱和吸附量为12.1 mmol g-1,并对烟气中其他气体组分(主要为N2、O2和CO2)表现出高吸附容量比和选择性。动态穿透实验进一步证实NKU-201-Y可实现从干燥烟气中捕获微量SO2(3000 ppm),并能在相对温和条件(70 °C)下脱附回收高纯度SO2(> 96.4%),用于制备硫酸等精细化学品。

图3. NKU-201-Y的气体吸附曲线和干燥烟气脱硫以及SO2回收性能。
令人意外的是,该材料的SO2脱除性能几乎不受湿度变化的影响,在低湿度到高湿度(10%-70% RH)的循环穿透测试中表现出极佳的稳定性和不变的SO2穿透时间以及动态吸附量。反之,水气的穿透时间和吸附量亦不受低浓度SO2的影响。原位脱附实验表明,SO2与水气在混合烟气穿透过程中同时被选择性吸附,且水气吸附量与单组分动力学吸附曲线一致。因此,该MOF具有罕见的“SO2-水气”非竞争性共吸附行为。

图4. NKU-201-Y的吸附动力学测试和潮湿烟气穿透实验。
吸附动力学测试结果证明,SO2的吸附速率明显高于水气,这有利于微量SO2的捕集。进一步的单晶X射线衍射结果揭示,在该MOF中,SO2主要吸附位点位于孔笼和孔道内。而水分子的优先吸附位点为九核钇簇(Y9)赤道面的开放金属位点。由于该位点指向一维孔道,因此当环境相对湿度超过S型水吸附曲线的拐点时,水团簇以及水氢键网络只能在限域孔道内形成,与SO2的主要吸附域相互隔离。最后,潮湿SO2载气单晶衍射结果也证实,在SO2和水气共存条件下,二者仍主要占据各自的优先吸附位点,使得一维孔道内填充的大量水分子并不妨碍SO2在孔笼中的富集,解释了这一独特的非竞争性共吸附行为。

图5. NKU-201-Y中的SO2主要吸附位点。

图6. NKU-201-Y中水团簇形成过程以及SO2和水气的分区域吸附。
该工作通过丰富的表征测试手段揭示了一种全新的“SO2-水气”非竞争性共吸附机理,基于此可实现对烟气的同步脱硫和除湿,极大简化工业气体净化流程,并降低能耗。这一成果近期发表在Angewandte Chemie International Edition上,文章的第一作者是betway西汉姆联官网博士研究生庞晶晶,通讯作者为betway西汉姆联官网许健教授。
文章信息
期刊:Angewandte Chemie International Edition
题目:A Hydrolytically Stable Metal-Organic Framework forSimultaneous Desulfurization and Dehydration of Wet FlueGas
作者:jing jing Pang, Dr. zhao-Quan Yao, Prof. Dr. Hong-Liang Huang, Dr. Lin Li, Dr. Quan-Wen Li, Nan Lu,Zi-Han Song, Prof. Dr. jian Xu x, Prof. Dr. Xian-He Bu
接受日期: 15 December 2024
原文链接:https://doiorg/10.1002/anie.202421681