来源:Nano-Micro Letters

背景概述
使用肼氧化反应(HzOR)替代发生在电解水阳极上的析氧反应(OER)可以大幅降低所需电压。本文报道了一种磷/铁共掺杂的硒化镍材料,可以作为一种双功能电催化剂,同时加速析氢反应(HER)和HzOR的反应动力学。该材料仅需-168和200 mVRHE的电势就可以分别在HER和HzOR中达到100 mA cm⁻²的电流密度。相应的电化学测试、原位表征和理论计算证明了杂原子掺杂对于材料HER和HzOR反应动力学的优化。

本文亮点
1.报道了一种磷/铁共掺杂的硒化镍材料作为HER/HzOR双功能电催化剂并证明了杂原子掺杂对于材料HER和HzOR反应动力学的优化。
2.利用该双功能电催化剂,可以构建一个锌-肼电池和肼辅助电解水体系联用的体系,实现对于间歇性可再生能源的有效利用以高效产氢。
图文导读
使用HzOR替代发生在电解水阳极上的OER可以大幅降低所需电压。betway西汉姆联官网袁忠勇课题组报道了一种磷/铁共掺杂的硒化镍材料(P/Fe-NiSe₂),可以作为一种双功能电催化剂,同时加速HER和HzOR的反应动力学。该材料仅需-168和200 mVRHE的电势就可以分别在HER和HzOR中达到100 mA cm⁻²的电流密度。相应的电化学测试、原位表征和理论计算证明了杂原子掺杂对于材料HER和HzOR反应动力学的优化。此外,利用该双功能电催化剂,可以构建一个锌-肼电池和肼辅助电解水体系联用的体系,实现对于间歇性可再生能源的有效利用以高效产氢。
Ⅰ材料优秀的双功能电催化HER/HzOR性能
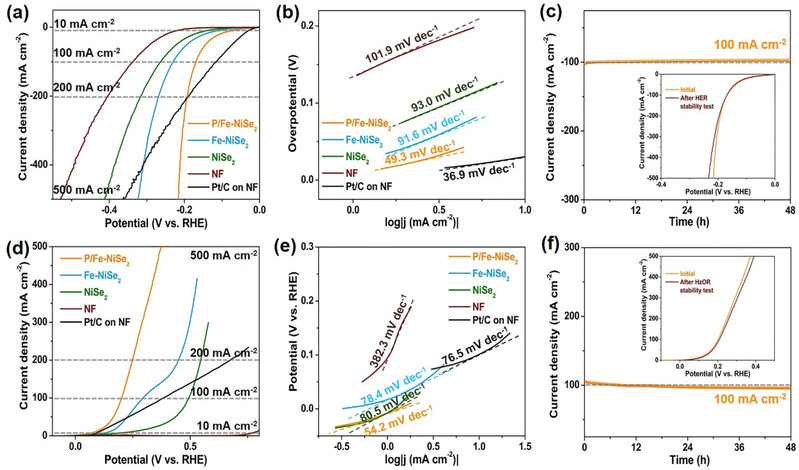
合成的P/Fe-NiSe₂催化剂在与未掺杂对比样的比较中展现出了更好的双功能HER/HzOR电催化性能(图1),仅需-168和200 mVRHE的电势就可以分别在HER和HzOR中达到100 mA cm⁻²的电流密度。同时P/Fe-NiSe₂催化剂还表现出了更有利的HER/HzOR反应动力学以及良好的长时间稳定性,可以在100 mA cm⁻²的电流密度下保持48 h以上的稳定工作。

图1. P/Fe-NiSe₂,Fe-NiSe₂,NiSe₂,镍网以及铂碳催化剂的HER/HzOR性能。HER:(a)极化曲线,(b)Tafel曲线,(c)长时间稳定性;HzOR:(d)极化曲线,(e)Tafel曲线,(f)长时间稳定性。
Ⅱ通过杂原子掺杂优化的反应动力学
如图2所示,通过相应的电化学测试、原位表征和理论计算对制备的P/Fe-NiSe₂中杂原子掺杂引发的HER/HzOR反应动力学优化进行了探究,证明了在P掺杂后,材料表面发生的HzOR趋于一种两步二电子转移的过程,由开始的缓慢的二电子转移过程生成*N₂H₂中间体和后面的快速的N₂生成过程组成,与两步的HER过程组成了一种在肼辅助电解水体系中有利的“2+2”反应机理。

图2. 在含10 mM肼的1.0 M KOH中不同扫速下测试得到的循环伏安曲线:(a)P/Fe-NiSe₂,(b)Fe-NiSe₂以及(c)由此计算的转移电子数目;(d,e)P/Fe-NiSe₂和Fe-NiSe₂材料对于HzOR的电化学原位红外谱图;对于(f)H*、(g)水分子以及(h)HzOR中各个反应中间体的Gibbs吸附能;(i)在P/Fe-NiSe₂上发生的两步HzOR过程。
Ⅲ锌-肼电池和肼辅助电解水的联用体系
利用该双功能电催化剂,可以构建一个锌-肼电池和肼辅助电解水联用的体系(图3)。P/Fe-NiSe₂组装的锌-肼电池可以成为间歇性的可再生能源与P/Fe-NiSe₂作为两极的肼辅助电解槽之间的中转站,将风能、太阳能等间歇性的可再生能源储存在锌=肼电池中,维持电解水装置的稳定运行。该电化学能源转化装置的联用体系有重要的实际应用价值。

图3. (a)锌-肼电池和肼辅助电解水联用体系的示意图;(b)肼辅助电解水和传统电解水体系的极化曲线;(c)100 mA cm⁻²电流密度下的肼辅助电解水长时间稳定性测试;锌-肼电池的(d)极化曲线以及(e)在不同电流密度下的充/放电测试。
文章信息
期刊:Nano-Micro Letters
题目:Heteroatom-induced accelerated kinetics on nickel selenide for highly efficient hydrazine-assisted water splitting and Zn-hydrazine battery
作者:Hao-Yu Wang, Lei Wang, Jin-Tao Ren, Wen-Wen Tian, Ming-Lei Sun and Zhong-Yong Yuan*
接受日期:19 June 2023
原文链接:https://doi.org/10.1007/s40820-023-01128-z